在文案创作过程中,对各种不同的思维模式进行兼收并蓄是很有必要的,这能帮助我们提升思维的柔韧度,避免我们陷入因为长期写作而产生 的怠倦与乏味中。

当代人,越来越难被花哨的文字欺骗了,但面对不明觉厉的数字和图标, 情况就不一样了。在这个大神频出的世界,你永远也不知道下一秒会出现的让你惊掉下巴又心服口服的内容长啥样。
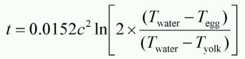
比如,普通人写的菜谱,不外乎“步骤一步骤二”再加上几张配图, 而理工大神的菜谱,长这样 :

不是我们打开的方式不对,上图是埃克塞特大学物理系讲师查尔斯·威廉姆斯博士所写的煮鸡蛋公式,公式里的参数 Tegg 代表鸡蛋的初始温度(温 度单位为° C),Twater 代表水温,Tyolk 代表理想的蛋白与蛋黄分界处的温度,t 代表煮鸡蛋的市场(单位为分钟),M 代表鸡蛋质量(单位为克)。
如果用户家里没有能精确称出鸡蛋重量的工具也不要紧,彼得·巴汉姆 (Peter Barham)在《烹饪的科学》一书中提供了一个基于鸡蛋周长的公式,其中t代表煮鸡蛋时间,c代表鸡蛋周长(单位为厘米):

普通人吃小笼包只会评论皮薄馅大、汁多味鲜,但大神的小笼包测评长这样 :
小笼包分数计算公式:[(馅料重量+汤汁重量)/皮的厚度]×100,得12分以上的小笼包为A类,6.75分以下的为C类,介于两者之间的是B类。
这是一位美国大厨探访了 50多家上海包子铺,吃了 300多只小笼包, 写出了一份《上海小笼包索引》,别人吃小笼包用筷子,他用剪刀、电子秤和电子卡尺,精确地测量出小笼包中汤汁、肉馅、皮的科学数值,然后根 据公式计算出每家餐厅的分数。
又比如,普通人追星只会对着偶像的照片说“吹爆哥哥的颜”,但有人是这样追星的 :

图片来自@知乎
用制图软件 CAD 算出偶像面部线条的角度,以证明偶像的脸在几何构图方面的完美 ;用黄金分割验证偶像三庭五眼的比例,证明偶像的神颜并非虚言。追星追出了搞科研的感觉,这样的技术流彩虹屁在饭圈也算是独树一帜了。
那么在文案创作领域,理工科思维又能为我们的写作提供哪些新的视角和方法呢?接下来我们将探讨三种思维,帮助我们写出一些不一样的文案。
1、万物皆可量化
在文案创作过程中,我们早已懂得利用各式各样的技巧,来与消费者做更好的沟通,比如洞察消费者的心理与情绪、利用传播规律或者撰写金句让消费者产生记忆点等等……
在这样的思维导向之下,我们撰写文案的依托点,或是消费者的某个情绪点、某个传播热点,又或是某种文字创作技巧, 如果使用得当,都能让文案更具价值。这些文案创作手法在品牌宣传中屡见不鲜,比如陌陌就曾借势人类登月 50周年纪念日,推出过一支宣传短片。短片主题为《孤独的信号》,其视频文案如下 :
133 亿光年,是已知最为遥远的星系。
这个无法触碰到的目的地对我们来说到底有何意义?
无法顺利发出一个信号,无法用肉眼去看,
人类因为孤独出发,直面整个宇宙的陌生。
宇宙并非温和宁静,无论结果如何,
我们都愿意抵抗引力,付出生命。
愿意相信每一粒陌生尘埃里,都可能拥有着遥远的相似性,
哪怕只有一点点,就值得继续前行。
宇宙未知而巨大,人类的渺小,也许还未曾被阅读。
战胜孤独的,从来都不是喧嚣,而是选择去靠近陌生的勇气。
我们选择登上月球,不是因为它简单,
而恰恰是因为它很难,无论结果如何,
跨出一步,就是一步的胜利。这里是地球。
你好,陌生的朋友,陌陌,很高兴认识你。
短片瞄准了人们的孤独情绪,以“战胜孤独的,从来都不是喧嚣,而是选择去靠近陌生的勇气”为洞察点,在阐释品牌理念的同时也扣准了陌陌主打陌生人社交的产品价值,陌陌这则视频文案有洞察、找到了用户情绪,也借势了热点,可以说满足了不少文案撰写的“套路“。
但如果我们试着 换一种思路,用理工思维去为交友软件写文案,是否能产生不一样的展现 形式和效果呢?比如,以下这一段文案 :
在这个地球上,人想要遇到命中注定的灵魂伴侣,概率有多大? 全世界一共约有 6.7×10人, 假如我们一天可以新认识一个人, 假如我们能活到并坚持寻找到 80岁,那么在这 30000天里,我们能够结识 30000个人, 假如这 30000个人中正好有一个是我们的灵魂伴侣, 那么我们遇到对方的概率是 1/200000。原来,有趣的灵魂不止万里挑一,我们为什么不多使用一些力量,让自己与对方相遇?
这段文案清晰完整地展示了“遇到灵魂伴侣概率有多大”的推导过程, 让人感受到遇到“正确的人”是多么不容易,因为即使是在理想情况下, 概率也仅有二十万分之一。
更何况正常人不可能用尽一生时间去寻找灵魂伴侣,大部分人都会在人生的前 30年就完成这项任务,这样来算的话机会就更加渺茫了。
类似这样的文案,就是用理工思维去为一款交友软件撰写的文案,语气冷静,毫不煽情,没有去渲染孤独的痛苦,却能戳中人们内心对于寻找伴侣的焦虑。
我在《进击的文案》一书中提到过,如果要为一款不粘锅写文案,比起“让食物悬浮在锅壁物理颗粒之间, 在食物不接触锅底的情况下均匀受热,翻炒更轻松不易粘锅”这样的文案, 就不如“连续煎 150个无油鸡蛋依旧不粘”这般具有实验精神,后者也更加具象,让用户觉得这一结论不是无中生有的,而是经过验证后得出的,因此也更有说服力。单纯描述一款面巾纸“吸水能力强”,就不如写为“5 张即可吸干半中杯子(100ml)净水”更能说明面巾纸的特点。
想说明一款婴儿纸尿裤透气性好,“超 5000万个透气呼吸微孔,凹凸透气表层空气流动舒适”这样的文案就更具说服力,“5000万个透气呼吸微孔”的作用就是“量化”透气,会让用户觉得产品的透气性强是有依据的。
近年来流行的各类 App 生成的年末“歌单”“账单”,本质上也是使用了量化的手法,让用户清晰地感知到自己过去一年中在某个领域的行为轨迹。比如网易云音乐每年都会刷屏社交网络的年度歌单,就会统计出用户在过去一年中一共听了多少首歌、用户听的最多的是哪首歌,除了这样的维度, 还有一些更加个性化的维度,比如用户在网易云音乐听到的最多的是哪个词(“你在网易云音乐听到的最多的词是“记得”)、用户在某一天中单曲循环的最多的是哪首歌(8 月 12 日大概是很特别的一天,这一天里你把坂本龙一的《Forbidden Colours》听了 55 次)等,这样的文案会产生一种“原本抽象的心情得到量化”的碰撞效果,从而使用户产生想要转发分享的冲动。
在甲壳虫汽车的经典文案中,也使用过量化思维,让用户感受到甲壳虫汽车对质量的高要求 :
这辆“甲壳虫”没赶上船运。仪器板上放置杂物处的镀层出现了瑕疵,这是一定要更换的。你可能根本没注意它,但检查员 Kurt Kroner 发现了。我们在沃尔夫斯堡的工厂中有 3389 名工作人员,他们唯一的任务就是 :在生产过程中的每一个阶段检查甲壳虫(每天生产 3000辆甲壳虫,而检查员比生产的车还多)。每辆车的避雷器都要检查(决不作抽查),每辆车的挡风玻璃也经过详细的检查。甲壳虫车经常会因肉眼看不出来的表面擦痕而被淘汰。
最后的检查更是苛刻到了极点!
VW 的检查员把每辆车像流水般送上车辆检查台,接受 189 处检验,再飞快地打开自动刹车(再冲向自动刹车点)。在这一过程中,每 50辆甲壳虫中总会有一辆不通过(被淘汰率是 2%)。正因为对细节的全神贯注,甲壳虫比其他车子耐用却不大需要维护(其结果也使甲壳虫的折旧较其他车子少)。
我们剔除了柠檬,你得到李子。
“3389 名工作人员” “每辆车的避雷器都要检查(绝不作抽查)” “每辆车接受 189 处检查”“被淘汰率是 2%”这些数据都能体现出甲壳虫汽车品控的严格,也是甲壳虫汽车得出“比其他车子耐用却不大需要维护”这一结论的理由。
2、猫地图和费曼技巧
理查德•费曼是美国知名物理学家,他在 24 岁时就加入了美国原子弹研究项目小组,参与秘密研制“曼哈顿计划”,47 岁时获得诺贝尔物理奖, 不仅如此,在加州理工学院担任物理学教授期间,他还以幽默生动的授课风格闻名。
在《别闹了,费曼先生》一书中,曾提到过一个“猫地图”的故事。费曼在普林斯顿大学研究生院时,曾研读过关于“神经脉冲”的论文,当时的人曾经拿猫做试验测量神经上的电压,论文里总是出现伸肌、屈肌、腓肠肌等,但这些肌肉处在神经的什么位置以及在猫身上的哪个位置,都让 费曼一头雾水,于是他就问生物学院的图书馆员,是否能给他一张“猫地图”, 结果被人以为是傻子。于是他自己画了一幅猫的轮廓图,在图上的猫身上标注出各块肌肉的名字,把原本需要花许多时间死记硬背的知识用 15 分钟 便记了下来。
把同样的信息用不同的逻辑更加简化和清晰地进行呈现,也是文案创作中需要习得的一种技能。费曼曾说过“如果不能把一个问题讲得让一个大学 新生也能听懂,那就说明我自己对这个概念也是一知半解的”。人的思维还 有自发性、发散性、无法自律性的特点,人的大脑就像一匹野马,需要被驾驭, 而“费曼技巧”就是驾驭它的缰绳。
费曼技巧主要有四个步骤,首先,明确自己想要学习的概念,其次试着去讲授这个概念,也就是“以教促学”,想象自己是一位老师,要把这一概念教给他人 ;当发现自己讲不清楚时,就去查漏补缺补足知识,最后继续升华,尝试用更简洁的词语去概括它,或者使用类比让别人更好地理解它。
在文案写作的过程中,创作者也可以使用“猫地图”这样的形象化思 维和“费曼技巧”,去降低用户接受信息的成本,更容易地理解文案想要传递的内容。比如当我们想为用户介绍一款“平铺晾衣网”时,该如何让用户轻松地了解到这款晾衣网能实现无痕晾晒、不会像普通衣架那样导致某些娇气的衣服变形呢?网易严选就用“让衣服躺着晒太阳”这一形象化的比喻, 让用户了解这款产品的特点 :
柔软舒适的毛衣想要晒太阳
但却害怕衣架的拉扯
干脆给衣服一个“躺椅”
来一场舒服的“沙滩太阳浴”
再次穿上还是原来的样子。
一场”沙滩太阳浴”,形象化的描写让人联想到衣服摊开在晾衣网上的 样子,并且”沙滩浴”给人的感觉是舒适和惬意的,就像用户不必担心衣 架撑起衣物肩部“小突起”的心情那样。
3、 跳出经验,练习思维体操
在文案写作过程中,我们很容易陷入经验主义的思维模式中,而“科学思维是利用一种相互整合的真实情况来取代相互分离的各种情况的重复联结”,也就是说,除了那些我们可以毫无费力地用肉眼可见的或者能察觉到的事实,我们还需要更多地去探寻那些无法直接感受到的、更加详细的流程。比如,当有人提问“为什么开启一个水泵就能把河里的水抽到很高的地方?”,如果用经验主义来回答的话,那答案很容易是“因为水泵有很强的吸力”。
然而,科学思维会考虑到力有不同的强度,只要达到了力的极限, 它的吸力就不再起作用,而且随着海拔高度的变化,水泵吸力作用于水的高度也会发生相应的改变。很多时候,即使一些现象是容易被我们捕捉的,但是我们并不会对它们多加思考。
在文案写作中,如果局限于经验的藩篱中,就很难找到新的角度,写出让人眼前一亮的内容。比如当我们为一款抗衰护肤品写文案时,依从于经验的脑回路就是“提升肌肤紧致度、淡化细纹、提升肌肤柔软度和弹性” 就等于“防止衰老”,然而这样的文案在护肤品领域是屡见不鲜的,甚至有些千篇一律,用户看了也不容易留下印象。如果我们摒弃经验主义的思维模式,换一个角度去切入,或许就有新的灵感。
比如,我们可以向用户抛出一个问题 :如何利用时间膨胀效应让你长生不老?“长生不老”在我们的经验里是不可能发生的,接近于玄学,“时间膨胀效应”看上去是个物理学领域的专业词汇,这两个词之间的碰撞就容易让人产生兴趣,想要一探究竟。
根据爱因斯坦的相对论,当物体以相对速度 v 进行运动时,时间就会减慢,已知光速是 2.9979×108 米/秒,假 设一个人在地球上活了 100年,经过计算之后,可以算出一个人需要达到 光速的 99.99%才能“长生不老”,而这个速度大约是航天飞机速度的 40000倍。
接下来我们试着写一款抗衰型睡眠面霜的文案 :
如何利用时间膨胀效应让自己长生不老?
爱因斯坦的相对论告诉我们当物体以相对速度 v 进行运动时,时间就会减慢。
2.9979×108米/秒,是光的速度,而一个人需要达到光速的99.99%,
才能“长生不老” 。
打开睡眠面霜,进入你的时间舱,入梦后,轻松追赶时光的速度。
虽然最终女士们挑选护肤品的主要依据还是品牌,但这样的文案创作过程可以被视为一种“思维体操”,帮助我们跳出常规的思维模式,寻找更多新的角度。
结语
在文案创作过程中,对各种不同的思维模式进行兼收并蓄是很有必要的,这能帮助我们提升思维的柔韧度,避免我们陷入因为长期写作而产生 的怠倦与乏味中。
万物皆可量化、猫地图与费曼技巧、跳出经验主义的思维体操都能有效地帮助我们拓宽脑回路,让文案写作拥有更多样化的解题 方式和更有趣的尝试探索。
作者:乌玛小曼,微信公众号:wumaxiaoman,资深文案策划人,专注分享文案、营销及 TMT领域的观点与干货。
